Der Zweck der kritischen Überprüfung des aktuellen Standes der Technik bestand darin, aktuelle vergleichende experimentelle ex-vivo (Knochenblöcke) und in-vivo (am lebenden Tier) Studien auf molekularbiologischer, mikro- und makroskopischer Ebene sowie vergleichende klinische Studien bezüglich postoperativer Patienten-Morbidität statistisch auszuwerten. Es galt zu bestimmen, welche Klasse von Instrumenten evidenzbasiert zum Knochenschneiden heute als Goldstandard definiert werden müssen. Darüber hinaus sollten die Indikationsbreiten und Vor- und Nachteile der drei Instrumentenklassen analysiert und Empfehlungen für den klinisch tätigen Oralchirurgen erarbeitet werden.
Material und Methode
Strategie der Literatursuche
Die englischsprachigen Datenbasen, Indizes und Suchmaschinen MEDLINE, PubMed, Cochrane Library, Scopus, Web of Science (ISI), Trip, Dentistry and Oral Science Source, DOAJ, NSLC, OAJSE, Index Copernicus and Google Scholar wurden auf Basis der Begriffe “osteotomy”, “bone”,“ cut”, “cutting”, “crest”, “alveolar ridge”, “bur”, “drill”, “rotary instruments”, “saw”, “laser”, “Er:*”, “Nd:*”, “CO2*”, “piezo”, “piezoelectric”, “ultrasonic”, “Piezosurgery”, “Piezotome” eigenständig oder mit Bool`schen Operatoren “NEAR” “AND” und “OR” als Dual- oder Triplett-Begriffsuche durchsucht. Alle gefundenen Publikationen, die zwar zu den Suchbegriffen passten aber vor dem Jahr 2006 erschienen sind, wurden ausgeschieden. Es galt zu vermeiden, dass experimentelle und klinische Studien die statistische Auswertung verfälschen, die mit im Jahr 2016 bereits veralteter Technologie durchgeführt oder bereits in früher publizierten systematischen Reviews analysiert wurden.
Die Zusammenfassungen („Abstracts“) der restlichen gefundenen Literatur ab dem Jahr 2006 wurden aufgearbeitet und anhand einer Kriterienliste zur Aufnahme in eine vorläufige Literaturliste in vier Kategorien eingeteilt.
Kategorien
- Systematische Reviews und Metaanalysen vergleichender Studien ? rotierende Instrumente versus Laser und/oder Piezotome
- Vergleichende experimentelle ex-vivo Studien ? rotierende Instrumente versus Laser und/oder Piezotome
- Vergleichende experimentelle in-vivo Studien ? rotierende Instrumente versus Laser und/oder Piezotome
- Vergleichende randomisierte, prospektive und retrospektive klinische Studien ? rotierende Instrumente versus Laser und/oder Piezotome.
Kriterien zum Ausschluss von der vorläufigen Literaturliste
Alle Zusammenfassungen („Abstracts“), die lediglich Falldarstellungen, Übersichtsartikel, technische Beschreibungen, Expertenmeinungen, nicht-vergleichende experimentelle oder klinische Studien repräsentierten oder nicht in peer-review Journals publiziert wurden, wurden von der Aufnahme in die vorläufige Literaturliste ausgeschlossen.
Kritische Bewertung
Von allen Publikationen der vorläufigen Literaturliste wurden die vollständigen Artikel ausgehoben und von jedem einzelnen Autor dieser Review eigenständig bezüglich Fehlern im Studienprotokoll, inadäquatem Studien- oder Review-Design oder zu vieler möglicher Befangenheiten der Studienautoren ausgewertet. Im Falle der Uneinigkeit der Autoren über die Zulässigkeit der Aufnahme einer Studie oder Review in die finale Literaturliste wurde ein unabhängiger Schiedsrichter angerufen.
Statistische Auswertung
Alle Publikationen der finalen Literaturliste aus der Kategorie 2-4 wurden nach ihrem Evidenzwert eingestuft:
Evidenzwert 0: keine Evidenz von Vorteilen von Lasern und/oder Piezotomen gegenüber rotierenden Instrumenten.
Evidenzwert 1: mäßige Evidenz von Vorteilen von Lasern und/oder Piezotomen gegenüber rotierenden Instrumenten mit möglichen Auswirkungen für den klinisch tätigen Oralchirurgen.
Evidenzwert 2: starke Evidenz von Vorteilen von Lasern und/oder Piezotomen gegenüber rotierenden Instrumenten mit signifikanten Auswirkungen für den klinisch tätigen Oralchirurgen.
Die Evidenzwerte für jede vergleichende Studie für jede Instrumentenklasse wurden addiert und durch die Anzahl der Publikationen jeder Kategorie dividiert, um einen finalen Gesamt- Evidenzwert zu erhalten.
Primäres Evaluationsziel war herauszufinden, ob eine nur mäßige oder signifikante Evidenz bezüglich verbesserter Präzision von Knochenschnittführungen, Verbesserung der Knochenheilung oder Reduktion postoperativer Patientenmorbidität gefunden werden kann wenn Laser und/oder Piezotome mit rotierenden Instrumenten direkt verglichen werden.
Das sekundäre Evaluationsziel wurde mit der Einsatzmöglichkeit, Indikationsbreite und Kontraindikationen für den Einsatz von Lasern und/oder Piezotomen in der Oral und Kieferchirurgie im Vergleich zu rotierenden Instrumenten definiert, um den klinisch tätigen KollegInnen evidenzbasierte Empfehlungen geben zu können.
Ergebnisse
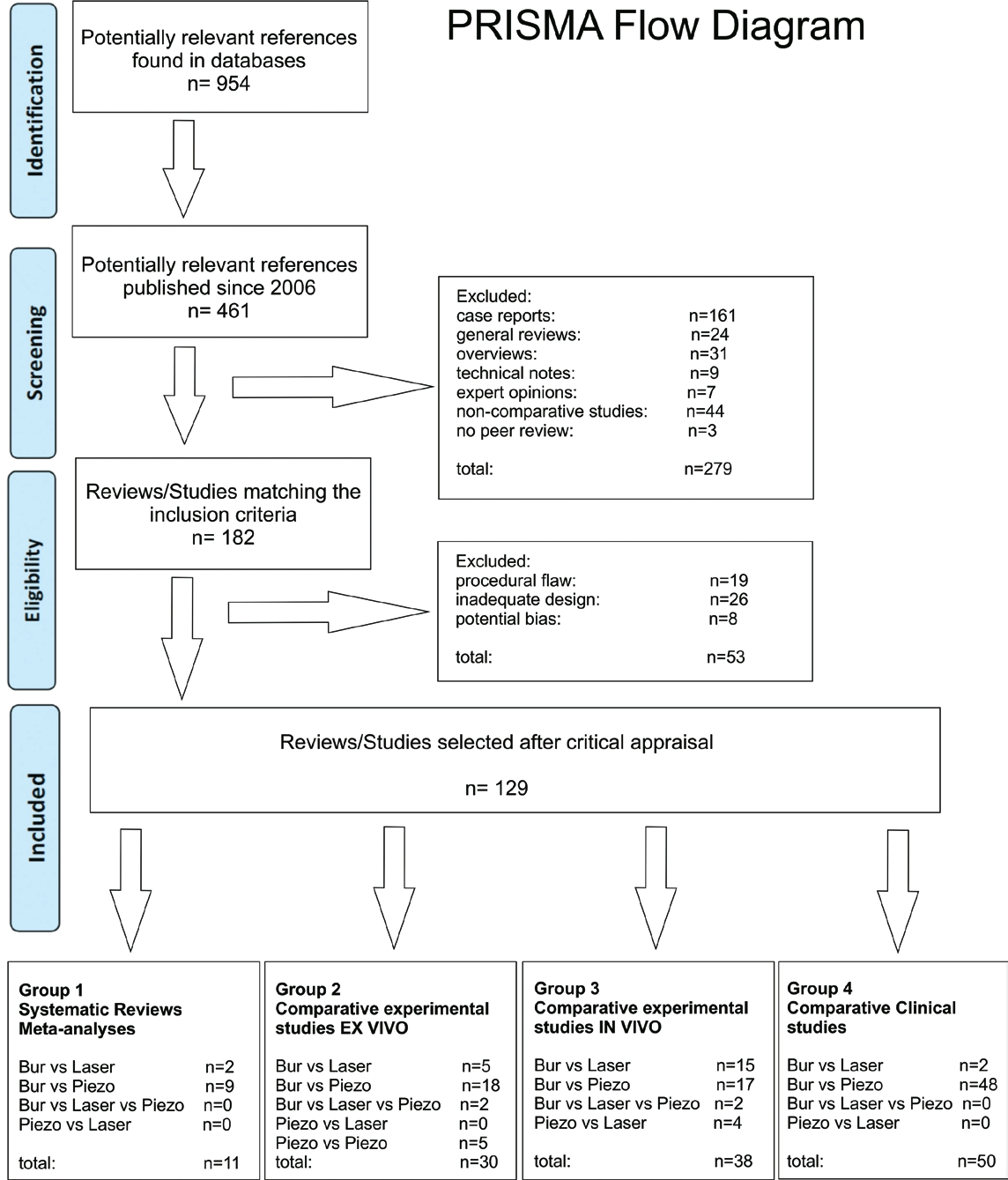
In den Datenbasen wurden anhand der Suchbegriffe insgesamt 954 potentielle Literaturstellen gefunden, von denen 461 ab Januar 2006 publiziert wurden. 279 Zusammenfassungen mussten von der weiteren Evaluation auf Basis der Ausschlusskriterien ausgesondert werden.
Troedhan
Insgesamt erfüllten 129 evaluierte Publikationen einstimmig oder durch Schiedsspruch des unabhängigen Schiedsrichters die Einschlusskriterien und wurden den Kategorien 1-4 zugeordnet (Abb. 8).
Kategorie 1
Systematische Reviews und Metaanalysen
Es konnten nur zwei aktuelle systematische Reviews mit Metaanalyse gefunden werden, die generell rotierende Instrumente mit Lasern verglichen [14,15]. Eine Studie betont als Conclusio „dass weiterführende Forschungen betrieben werden müssen, um für verschiedene Lasertypen die optimalen Einstellungen (für das Knochenschneiden) zu ermitteln, die Schnittgeschwindigkeiten, die Schnitt-Tiefenkontrolle und Anpassung (der Energieparameter) an den Knochentyp und den Weichgewebsschutz zu verbessern“ [14]. Die andere Meta-Studie [15] hebt hervor, „dass durch das Fehlen von klinischen Studien es unmöglich ist zu beurteilen, ob der Laser in der klinischen Anwendung für Knochenschnitte irgendeinen Vorteil gegenüber rotierenden Instrumenten vorweisen kann.“
Neun aktuelle systematische Reviews werteten vergleichende klinische Studien „rotierende Instrumente vs. Piezotome“ bezüglich spezifischer Operationsindikationen in Metaanalysen aus (vertikale Kieferkammspaltung „Crest-Split“ [16], Sinuslift mit lateralem Zugang [17,18], Beschleunigung kieferorthopädischer Zahnbewegungen „monocorticale interdentale Osteotomie“ [19] und operative Entfernung impaktierter Weisheitszähne [20-24]). Die Autoren dieser Publikationen kommen einheitlich zu dem Schluss, dass die Anwendung von Piezotomen für diese Operationsarten zu einer signifikanten Reduktion postoperativer Schmerzen, Gesichtsschwellungen und Kieferklemmen führt, aber die Operationsdauer verlängert wird und weiterführende randomisierte klinische Studien mit präzisem Studiendesign notwendig sind, um die bisherige Evidenz der Vorteile der Piezochirurgie weiter abzusichern.
Reviews und Metaanalysen zu einem direkten Vergleich von rotierenden Instrumenten mit Lasern und Piezotomen oder Lasern mit Piezotomen konnten in der Literatur nicht gefunden werden.
Kategorie 2
Vergleichende experimentelle Studien ex-vivo
Fräsen/Bohrer versus Laser
Troedhan
Fräsen/Bohrer versus Piezotome
18 experimentelle ex-vivo Studien an Tierknochenblöcken, in denen rotierende Instrumente mit Piezotomen verglichen werden [30-47], belegen mit hohem durchschnittlichem Evidenzwert (EV = 1,4, siehe Tabelle 1) die Vorteile von Piezotomen beim Knochenschneiden gegenüber rotierenden Instrumenten und hohe praktische Relevanz im klinischen Einsatz. Obwohl alle Studien darauf hinweisen, dass auch Knochenschnitte mit Piezotomen bei falscher Anwendung zu thermischen Knochennekrosen führen können (die bei rotierenden Instrumenten immer auftreten), bewiesen die Vergleichs-Studien durchwegs einen präziseren, saubereren und nahezu verlustfreien Knochenschnitt unter gleichzeitiger überlegener Weichgewebsschonung mit Piezotomen, vor allem auch bei Novizen in der Oral- und Kieferchirurgie.
Fräsen/Bohrer versus Laser versus Piezotome
Nur in zwei ex-vivo Studien wurden Fräsen/Bohrer direkt mit Lasern und Piezotomen bezüglich der mikroskopischen Morphologie des Knochenschnitts und des intraossären thermischen Gradienten untersucht und verglichen [48,49]. Eine Studie [49] wies einen leichten Verfahrensmangel auf (die Kühlmittel-Flussrate für das piezochirurgische Instrument lag unter den Herstellervorschriften) und verursachte einen ungewöhnlich hohen Temperaturanstieg im tierischen Knochenblock. Beide Studien belegen nur eine mäßige Evidenz (Tabelle 1) für Vorteile von Er:YAG-Lasern beim Knochenschneiden gegenüber Fräsen/Bohrern und piezoelektrischen Osteotomie-Instrumenten. Sie streichen aber hervor, dass Laser und Piezotome vergleichbar präzise und saubere Knochenschnitte ermöglichen und der korrekte praktische Einsatz von Lasern das genaue Wissen der Laserphysik und das praktische Training der korrekten Laserhandhabung voraussetzt.
Piezotome versus Piezotome
In fünf vergleichenden experimentellen ex-vivo Studien wurden piezoelektrische Chirurgie-Instrumente verschiedener Hersteller bezüglich ihres Verhaltens beim Knochenschneiden, der Qualität der Osteotomielinie und des intraossären Temperaturanstiegs untersucht [50-54]. Diese Studien konnten bezüglich ihres Evidenzwertes nicht statistisch ausgewertet werden, da einerseits die Sample-Größe zu gering war und unterschiedliche Studienprotokolle und Geräteeinstellungen eine valide Metaanalyse verhinderten.
Kategorie 3
Vergleichende experimentelle Studien in-vivo an lebenden Tieren
Fräsen/Bohrer versus Laser
Eine Evaluation des Evidenzwertes von 15 vergleichenden in-vivo Studien [55-69] wurde wegen des Einsatzes völlig unterschiedlicher Lasersysteme mit unterschiedlichen Laserlicht-Wellenlängen erschwert (Er:YAG, Er,Cr:YSGG, CO2, Nd:YAG, Nd:YSSG, femtolaser). Auch die Übertragungsarten des Laserlichts auf den Knochen (Spiegel-, Linsen-, Hohlwellen-Lichtleiter, Quarzfasern), der Durchmesser des Brennpunktes am Knochen, die Hitzeenergie- Dichte am Knochen und die Frequenz und Pulsqualität waren bei den untersuchten Lasersystemen völlig unterschiedlich, sodass kein standardisiertes vergleichbares Studienprotokoll erkennbar war. Die Autoren dieser tierexperimentellen Studien konnten im Vergleich zu rotierenden Instrumenten auf mikromorphologischer, mikroskopischer und klinischer Ebene keine Vorteile von Lasern beim Knochenschneiden erkennen und strichen vor allem die hitzeschädigende Wirkung aller untersuchten Lasersysteme (Knochennekrosen in histologischen Untersuchungen) hervor. Allerdings scheinen diese hitzeinduzierten Knochennekrosen im Vergleich zu rotierenden Instrumenten die Knochenheilung in der Praxis nicht zu beeinflussen. Im Gesamtergebnis gibt es bei den experimentellen Studien an lebenden Tieren keine Evidenz für Vorteile von Lasern gegenüber rotierenden Instrumenten (Evidenzwert: 0,5, Tabelle 1).
Fräsen/Bohrer versus Piezotome
Mit einer mäßigen bis starken Evidenz (Evidenzwert: 1,3, Tabelle 1) und daher möglichem großen Einfluss auf die praktische klinische Tätigkeit des Oralchirurgen scheinen Piezotome im Vergleich zu rotierenden Instrumenten auf molekularbiologischer, mikromorphologischer und histologischer Ebene die Knochenheilung nach Osteotomien signifikant zu verbessern. Außerdem heben die Autoren dieser tierexperimentellen Studien die überlegene Weichgewebsschonung (Nerven, Membranen) hervor [70-86].
Fräsen/Bohrer versus Laser versus Piezotome
Nur zwei publizierte tierexperimentelle Studien verglichen rotierende Instrumente direkt mit Lasern (Er:YAG) und Piezotomen. Die Ergebnisse einer Studie [87] beschreiben im Vergleich zu Fräsen und Bohrern eine signifikante Verzögerung der Knochenheilung bei Knochenschnitten mit dem Er:YAG-Laser und eine signifikante Beschleunigung der Knochenheilung mit Piezotomen, während die andere Studie [88] keine signifikanten Unterschiede zwischen den drei Instrumentenklassen findet. Der Evidenzwert ist wegen der zu geringen Zahl an Vergleichsstudien daher gering (0,3, Tabelle 1).
Laser versus Piezotome
Vier publizierte tierexperimentelle Studien [89-92] wiesen eine im Vergleich zu ultraschallchirurgischen Instrumenten verbesserte Knochenheilung von Er:YAG-Lasern nach, wenn der Laserstrahl mit einem speziellen und experimentellen Scanner-Handstück auf den Knochen übertragen wird (kontaktloses Knochenschneiden). Sie zeigten jedoch keine Unterschiede in der Knochenheilung, wenn das klinisch gebräuchliche Knochenschneiden mit Er:YAG-Lasern über Quarzfasern im Kontakt mit dem Knochen durchgeführt wird. Auch hier ist der Evidenzwert aufgrund der zu geringen Studienzahl nicht signifikant (0,5, Tabelle 1).
Kategorie 4
Vergleichende klinische Studien an Patienten
Fräsen/Bohrer versus Laser
Nur zwei klinische Studien [93,94] wurden bisher publiziert, in denen für den klinischen Gebrauch zertifizierte Er:YAG-Laser mit Fräsen und Bohrern bei Weisheitszahn-Operationen verglichen wurden. Diese Studien ergaben nur einen sehr geringe Evidenzwert (0,5) für einen Vorteil des Einsatzes von Er:YAG Lasern im Vergleich zu rotierenden Instrumenten bei Weisheitszahn-Operationen (Tabelle 1).
Fräsen/Bohrer versus Piezotome
In insgesamt 48 vergleichenden klinischen Studien wurden die kurz- und langfristigen molekularbiologischen, biomechanischen, histologischen, radiologischen und parodontalen Unterschiede der Auswirkungen von rotierenden Instrumenten und Piezotomen in der klinisch-praktischen Anwendung untersucht [95-107] sowie die intra- und postoperative Patientenmorbidität (intraoperative Blutungen, postoperative Schmerzen, Schwellungen und/oder Kieferklemmen) [108-142].
Sowohl die morphologisch orientierten klinischen Patientenstudien (Knochenheilung) als auch die Untersuchungen bezüglich postoperativer Patientenmorbidität kommen mit hoher Signifikanz (Evidenzwert 1,5, Tabelle 1) zu dem Schluss, dass die Anwendung von Piezotomen im Vergleich zu klassischen rotierenden Instrumenten in der praktischen Oral- und Kieferchirurgie zu einem intraoperativ signifikant geringeren Blutverlust und einer signifikanten Verbesserung der Knochenheilung führt und eine überlegene Weichgewebsschonung garantiert (vor allem Nerven/ Hirngewebe und Sinus-Schleimhäute). Postoperativer Schmerzen, Schwellungen und Kieferklemmen werden beim Einsatz von Piezotomen im Vergleich zu rotierenden Instrumenten hochsignifikant reduziert.
Zudem heben die Autoren dieser Studien hervor, dass die Lernkurve vor allem für Novizen in der Oral- und Kieferchirurgie signifikant steiler und kürzer ist als bei rotierenden Instrumenten und diese von Beginn an bessere OP-Resultate vorweisen können als beim Einsatz von rotierenden Instrumenten.
Vergleichende klinische Patientenstudien, in denen alle drei Instrumentenklassen direkt miteinander verglichen wurden oder vergleichende Studien Laser versus Piezotome wurden bis dato nicht publiziert.
Gesamtauswertung der Evidenzwerte – Ergebnis der Kategorien 2,3 und 4
Nach dem heutigen Wissensstand besteht keine oder nur eine sehr geringe Evidenz, dass der Einsatz von Lasern in der Oral- und Kieferchirurgie den Patienten Vorteile gegenüber rotierenden Instrumenten (Gesamtbewertung OmEV: 0,6) oder Piezotomen bringt (Gesamtscore OmEV: 0,5) (Tabelle 1).
Troedhan
In Tabelle 2 werden die evidenzbasierten untersuchten vergleichenden Eigenschaften von Fräsen/Bohrern, Lasern und Piezotomen bezüglich ihrer klinischen Relevanz aufgelistet und evidenzbasiert bewertet. Die bisher verwendeten traditionellen rotierenden Instrumente bilden dabei den Basiswert für den evidenzbasierten Vergleich.
In Teil 3 folgt die ausführliche Diskussion der Ergebnisse. Zudem werden Empfehlungen für den klinisch tätigen Oralchirurgen und Implantologen ausgesprochen.
Weitere Autoren:
Dr. Dr. Ziad Tarek Mahmoud, Department of Oral and Maxillofacial Surgery, Faculty of Dentistry, Alexandria University, Egypt
Prof. Dr. Marcel Wainwright, School of Dentistry, University of Seville, Spain
Univ. Prof. Dr. Moataz Mohamed Khamis, Department of Prosthodontics, Faculty of Dentistry, Alexandria University, Egypt
Weiterführende Links
- Kieferknochen schneiden und bohren mit Fräsen, Bohrern, Laser und Piezotomen
- Kieferknochen schneiden und bohren mit Fräsen, Bohrern, Laser und Piezotomen
Bildquellen sofern nicht anders deklariert: Unternehmen, Quelle oder Autor/-in des Artikels
Entdecke CME Artikel




Keine Kommentare.